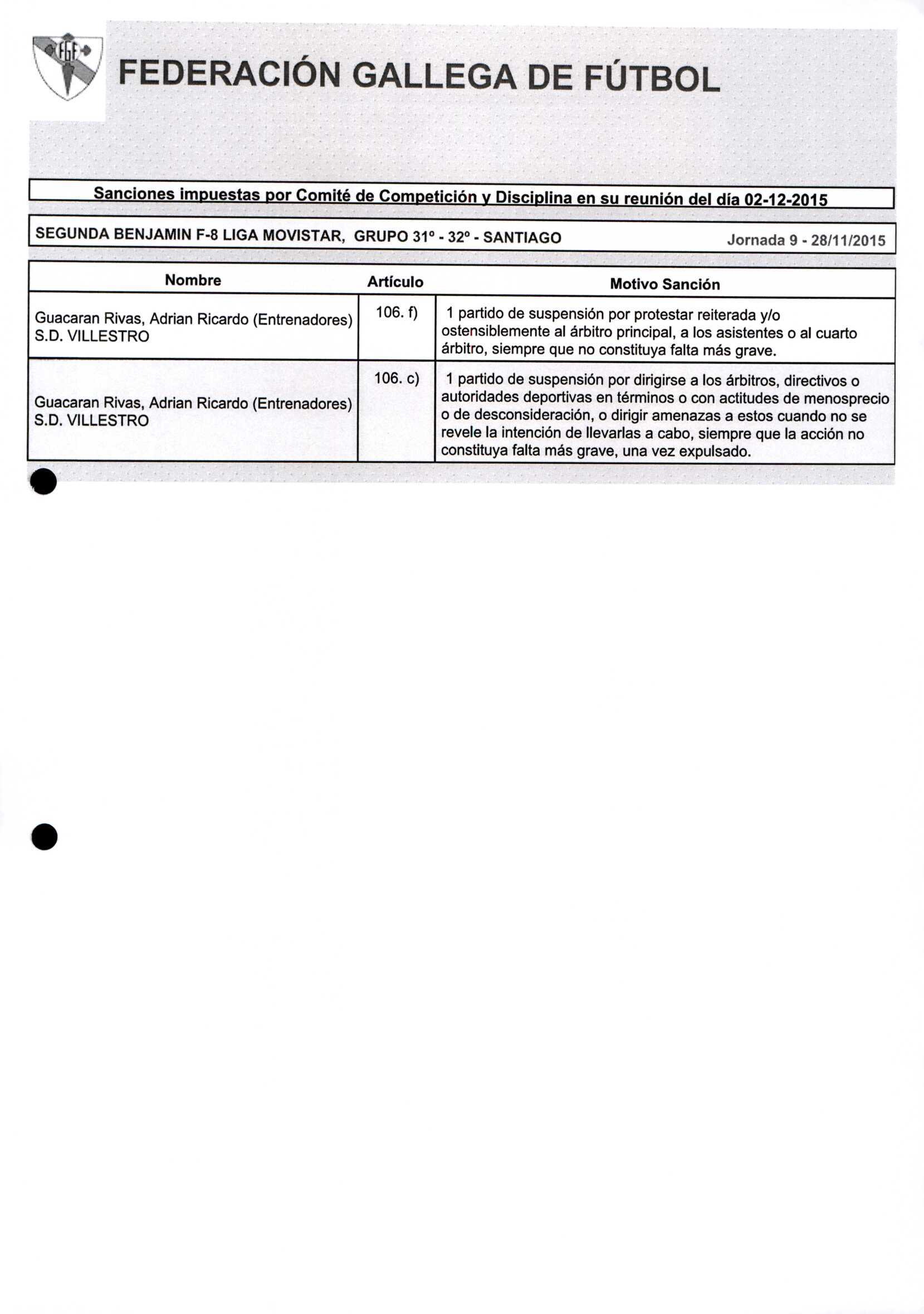
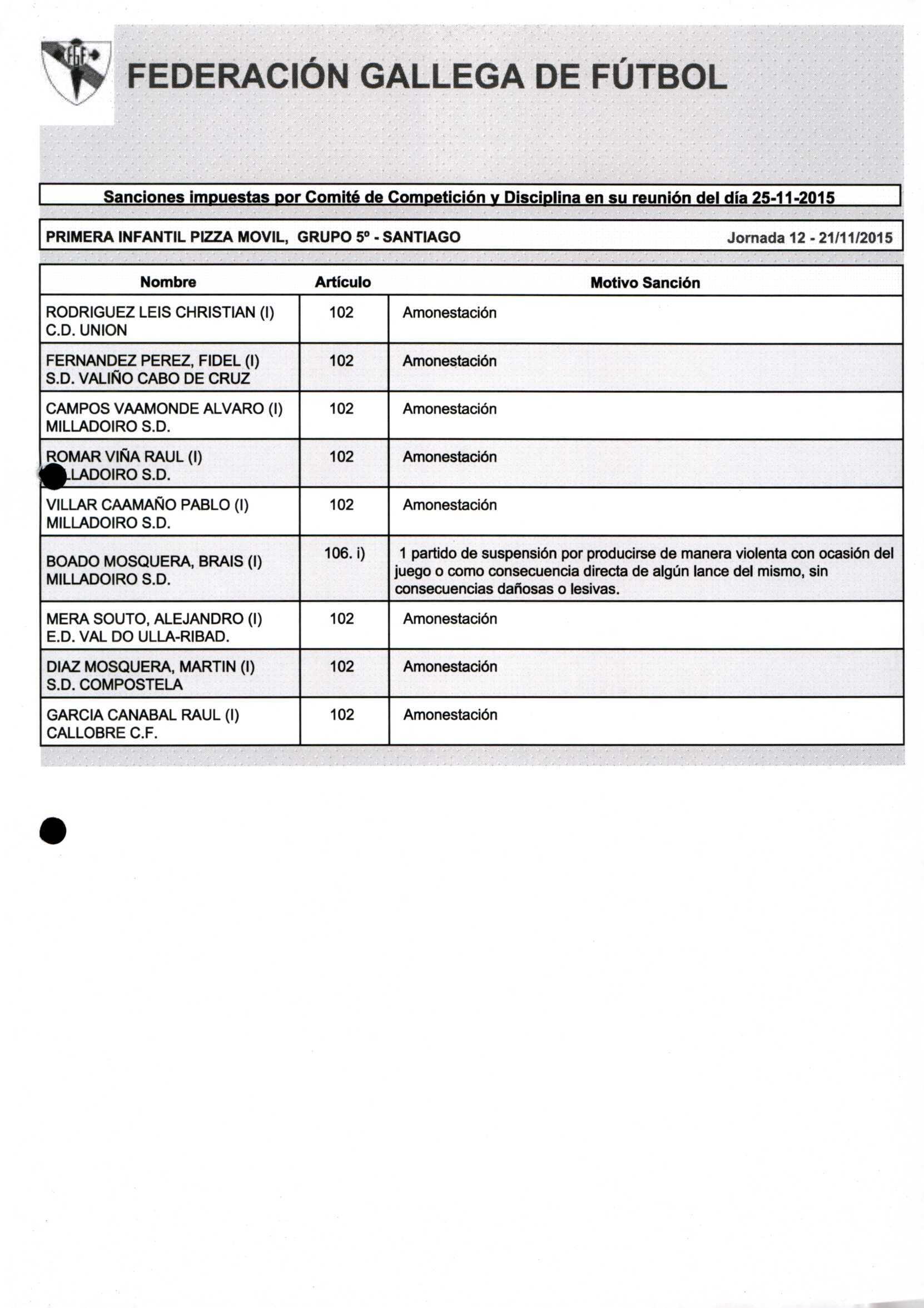
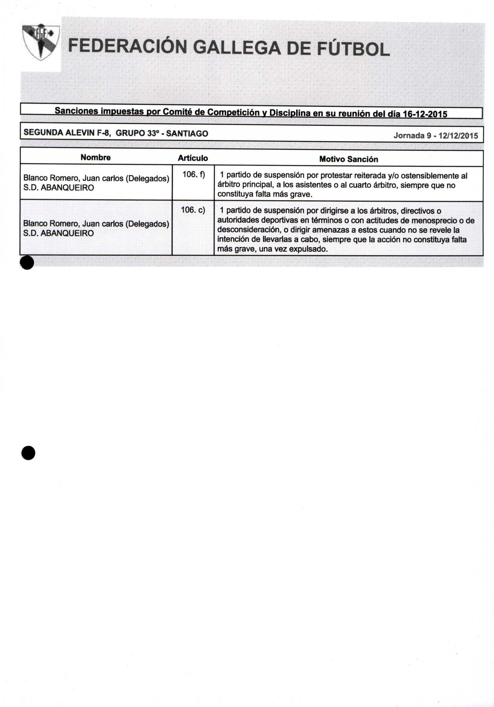
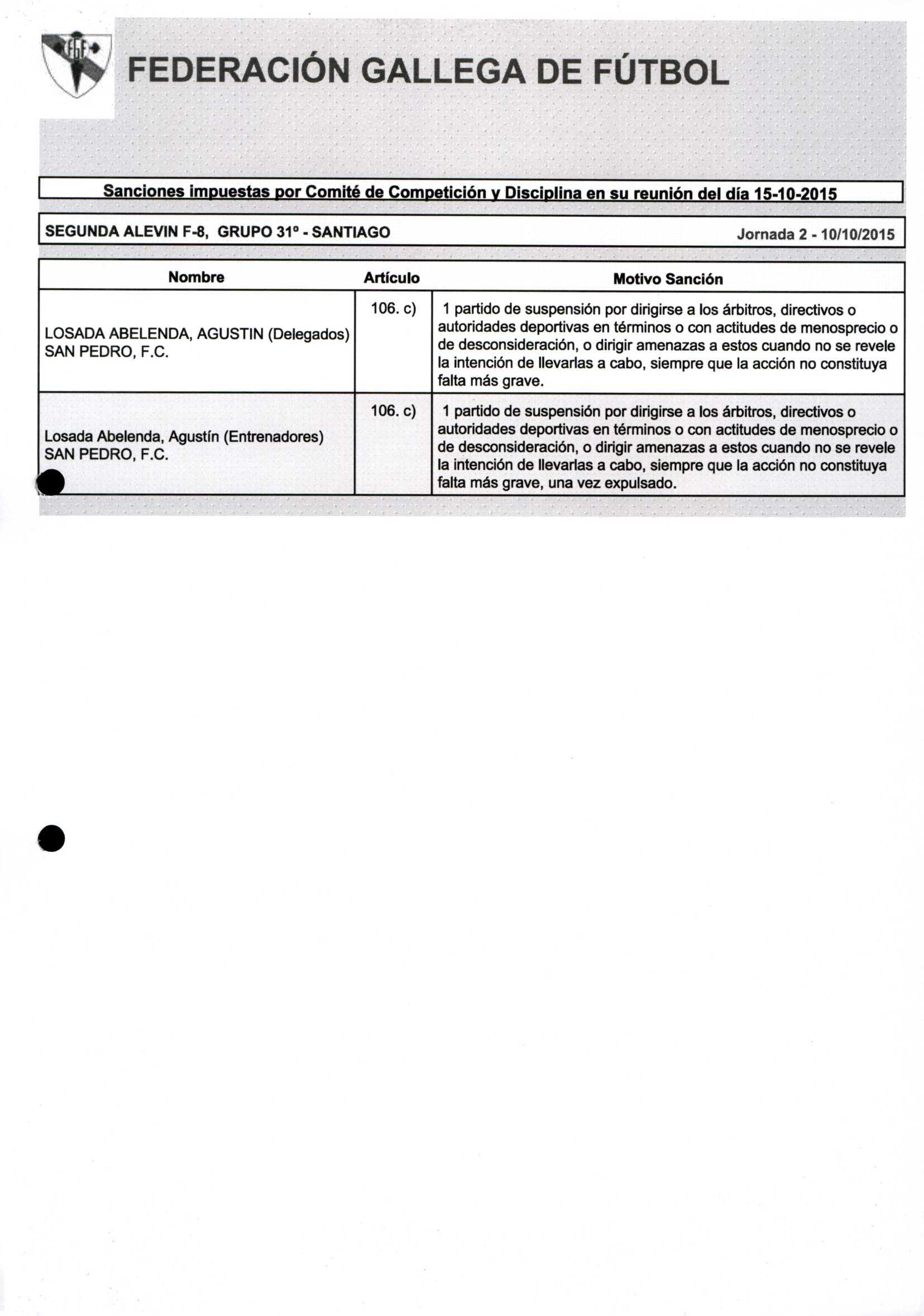
Unidade documental composta 2002/1 - Comité de Competición y disciplina. Reunion del 2015
Área de identidade
Código(s) de referencia
ES.GA.36057.ARFGF.1-3-4-1-2-2002/1
Título
Comité de Competición y disciplina. Reunion del 2015
Nivel de descrición
Unidade documental composta
Área de contexto
Fonte inmediata de adquisición ou transferencia
Área de contido e estructura
Valorización, destrucción e programación
Área de condicións de acceso e uso
Condicións que rixen o acceso
Language and script notes
Características físicas e requerimentos técnicos
Instrumentos de descrición
Área de materiais relacionados
Existencia e ubicación de orixinais
Existencia e localización de copias
Unidades de descrición relacionadas
Área de notas
Identificador(es) alternativo(s)
Puntos de acceso
Puntos de acceso á área temática
Puntos de acceso ao lugar
Nome dos puntos de acceso
Área de control da descrición
Identificador da descrición
Identificador da institución
XPRRFGA21CP1A000107644
Regras e/ou convencións usadas
Estado de elaboración
Final
Datas de creación revisión eliminación