Unidade documental simple 20/37 - R. 3-287. SAN ROQUE DE VILADERVOS. Viladervos

Área de identidade

Código(s) de referencia

ES.GA.36057.ARFGF.1-3-6-1-3-20/37

Título

R. 3-287. SAN ROQUE DE VILADERVOS. Viladervos

Data(s)

  • 2009-2009 (Creación)

Nivel de descrición

Unidade documental simple

Extensión e medio

Papel

Área de contexto

Nome do creador

Historia do arquivo

Fonte inmediata de adquisición ou transferencia

Área de contido e estructura

Alcance e contido

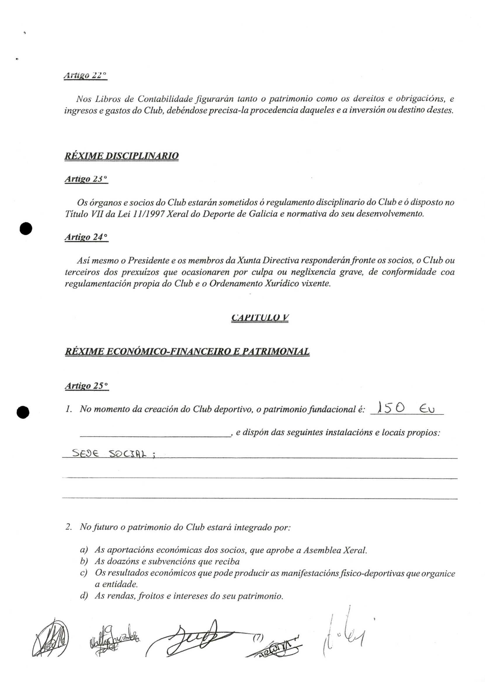
Contén o Acta da fundación e os estatutos da entidade deportiva 

Valorización, destrucción e programación

Acumulacións

Sistema de arranxo

Área de condicións de acceso e uso

Condicións que rixen o acceso

Condicións

Idioma do material

  • galego

Escritura do material

  • latino

Language and script notes

Características físicas e requerimentos técnicos

Instrumentos de descrición

Área de materiais relacionados

Existencia e ubicación de orixinais

Existencia e localización de copias

Unidades de descrición relacionadas

Descricións relacionadas

Área de notas

Identificador(es) alternativo(s)

Puntos de acceso

Puntos de acceso á área temática

Puntos de acceso ao lugar

Nome dos puntos de acceso

Genre access points

Área de control da descrición

Identificador da descrición

Identificador da institución

XPRRFGA21LX1A113668

Regras e/ou convencións usadas

Estado de elaboración

Nivel de detalle

Datas de creación revisión eliminación

Idioma(s)

Escritura(s)

Fontes

Área de acceso

Materias relacionadas

Persoas e organizacións relacionadas

Related genres

Lugares relacionados